The highly anticipated Top Gun: Maverick movie has been delayed so many times now that it’s hard to remember that its release date was pushed back by months even before the COVID-19 pandemic hit. While we can only hope that it will finally reach theaters next May, we can now share a group of documents that show just how closely involved the Department of Defense, including the Department of the Navy, really was in the production of the film.
The War Zone obtained the official production assistance agreements, 84 pages in total, in response to a Freedom of Information Act (FOIA) request to the Office of the Secretary of Defense. They are all dated between 2018 and 2019, but cover activities scheduled to run over into 2020. The documents, which reveal that the movie was referred to as “Island Plaza” during production, a common tactic used to help keep work on films under wraps and away from the prying eyes of fans and the paparazzi, are almost entirely unredacted. Certain names, initials, and signatures are the only things blacked out.
These documents offer an immense amount of detail about the kinds of support the U.S. military can provide to approved film productions, but especially the Top Gun sequel. The original film resulted in a massive recruitment leap for the Navy, one that lasted years after it first hit theaters. It has been known that the sequel would be getting unprecedented Department of Defense support. These agreements detail exactly what the Navy did for the Paramount production.
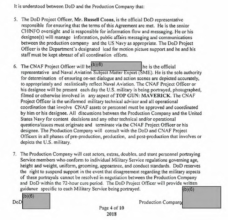
Some of the more interesting parts of these documents detail the exact responsibilities of both the Department of Defense and Paramount with regards to various aspects of the production, including changes to the script, payment for damages to the government, and reimbursement for certain work. The U.S. military also wouldn’t be liable for “unforeseen contingencies affecting national security or other emergency circumstances such as disaster relief [that] may temporarily or permanently preclude the use of military resources.”
You can see some of these provisions below.



Not surprisingly, a significant number of the total pages in the FOIA release cover various government-provided assets and other services, as well as access to several bases for filming. The documents confirm that filming was conducted on location at Naval Base Coronado, Naval Air Station (NAS) Fallon, NAS Lemoore, Naval Air Facility (NAF) El Centro, Naval Air Weapons Station (NAWS) China Lake, and Naval Air Station (NAS) Whidbey Island. Fallon is home to the Navy’s real-life Topgun program. The Nimitz class aircraft carriers USS Abraham Lincoln and Theodore Roosevelt were also made available. Some filming even took place inside Roosevelt‘s Combat Direction Center, which is the ship’s nerve center.

There are actually only a few references to the F-14 Tomcat, an aircraft that is inseparable from the original Top Gun film that came out in 1986, in these agreements. In late 2018, The War Zone reported on pictures that had appeared online showing star Tom Cruise, among others, filming with an F-14. In early 2019, additional photographs of this aircraft actually on board the Theodore Roosevelt emerged, which we reported on, as well.
“Subject to approval from Naval History and Heritage Command (NHHC) and The National Naval Aviation Museum‘s [sic] (NNAM) authorize the production company to borrow one heritage F-14 Tomcat, repaint the aircraft with NNAM approved paint scheme, remove ejection seats for on-stage filming, and conduct maintenance to power aircraft to have control panel and exterior lights operational in support of filming onboard a CVN and at second location TBD,” a section of one of the documents says. “All costs related to transporting, painting and maintenance are the Production Company’s sole expense.”
Another section confirms that a scene involving an F-14 crashing on the carrier’s deck is in the film. Back in 2019, as The War Zone reported, photos had emerged that showed the Tomcat being used for the movie positioned on the deck of the Theodore Roosevelt to look like it had gotten caught in the ship’s crash barricade.

Two different agreements say that the Navy was expected to provide between four and 12 actual F/A-18 fighters for film, “dependent on availability of aircraft.” There is at least one scene in the trailers that have been released so far showing a row of these jets, including one wearing a special paint job created specifically for the movie.
In addition, the Navy was to “allow for the internal and external placement of the Production Company’s cameras on F/A-18 E/F Super Hornets and Navy helicopters with the approval of the Naval Air Systems Command (NAVAIR).”
As The War Zone has pointed out in the past, there is no two-seat version of the stealthy F-35 Joint Strike Fighter, which would have made filming actors inside one of those jets during flying sequences impossible on a basic practical level. The production agreements highlight security concerns, as well, when discussing the filming of stock footage of F-35s, along with F/A-18E/Fs, on the Abraham Lincoln. “F-35 Joint Program Office will have on-sight program manager to conduct security review of all F-35 footage onboard. Any footage deemed classified or sensitive will be deleted or turned over to the U.S. Navy prior to debarking the ship,” a section of one agreement notes.

The Navy had to agree to allow various civilian aircraft, some of which are listed below, onto its bases for the movie. These included specially configured L-39 CineJets and an Embraer Phenom 300 business jet used for aerial filming, arrangements that are detailed in various agreements. Among other aircraft, the documents mention the P-51 Mustang seen in the trailers. This aircraft is confirmed to be a P-51K with the U.S. civil registration code N51EW that is owned and flown by star Tom Cruise himself through a company called Valhalla Aviation.


There’s a brief mention of the fictitious Dark Star hypersonic aircraft that drew a significant amount of attention after the second trailer for the movie was released in 2019. The same section that mentions this name, seen below, also talks about some of the flight work that was done for the movie, including the filming of the actors in actual jets during basic flight maneuvers (BFM), dogfighting, low-level flight, and an “End Battle,” as well as other scenes.

There are some details about set construction in various locations, including the complete transformation of a hangar and squadron spaces belonging to Fleet Logistics Support Squadron 30 (VRC-30) at NAS North Island, part of Naval Base Coronado, for the movie. VRC-30 flies the C-2A Greyhound Carrier Onboard Delivery (COD) cargo aircraft and is set to eventually be inactivated as part of the Navy’s transition to the CMV-22B Osprey tiltrotor. The service’s first CMV-22B unit, Fleet Logistics Multi-Mission Squadron 30 (VRM-30), stood up at NAS North Island in 2018.

There are multiple discussions about building the “Hard Deck Bar,” a full stand-alone structure that was built on a beach at NAS North Island back in 2018. Curiously, the Navy had agreed to keep the building in place through September 2020, according to one of the agreements, despite the movie’s release date at that time being June 26, 2020. A separate agreement makes clear that structure would only be used for filming and not for any other purpose, such as public relations events to promote the film.


Oh, and don’t forget that the Department of Defense is supposed to receive “a minimum of five one-sheets [movie posters] upon the date of the United States theatrical release of the Picture, and ten digital videodisc (DVD) copies of the completed production to DoD for internal briefings and for historical purposes, at such time when such materials are made available to the general public.”

These are just a few of the massive cache of details found in the production assistance agreements we obtained, which you can find in their entirety here. We encourage anyone to drop anything else they find of interest into the comments below.
Top Gun: Maverick is currently scheduled to hit theaters on May 27, 2022. Hopefully, there won’t be any more delays.
Contact the author: joe@thedrive.com