Just over 30 years after the U.S. Air Force officially shuttered the super-secret 4477th Test and Evaluation Squadron, or Red Eagles, and its fleet of Russian MiGs, the service has released a little film about the unit’s activities, also known as Project Constant Peg. It’s short, but it’s still full of interviews with pilots and ground crews about their work, as well as images and video of the squadron’s unique fleet of foreign planes. It offers additional insight into the world of U.S. military units charged with what is known as “Foreign Materiel Exploitation,” or FME, a service that the latest incarnation of the Red Eagles continues to provide to this day.
The brief documentary, titled Red Eagles – Constant Peg, 1977-1988, first appeared on social media accounts linked to Nellis Air Force Base in Nevada. Nellis is presently home to some of the Air Force’s premier test and evaluation and research and development units, including the 57th Wing and 53rd Test and Evaluation Group. The base has also long served as an official home for units conducting top-secret work at various outlying installations, including the Tonopah Test Range Airport and Groom Lake, also known as Area 51.
The 4477th officially stood up at an airfield near the remote Tonopah Test Range on April 1, 1977, eventually bringing MiG-17 Fresco, MiG-21 Fishbed, and MiG-23 Flogger jets that the U.S. government had acquired by various means to the base. The squadron also acquired Chinese Chengdu J-7Bs, which are license-built MiG-21 copies.
The squadron also flew T-38 Talon trainers, which acted, in part, as chase planes. They would’ve offered the Air Force an additional way to cover and obscure what the squadron was actually doing, as well. The Air Force initially had to expand the size of the airport at Tonopah to handle all of the new aircraft.
“The whole idea of building an airfield was an overwhelming challenge,” retired U.S. Air Force Colonel Gail Peck, who commanded the 4477th between 1977 and 1978, says in the Air Force documentary. “I got to thinking about it and so I pulled out a ballpoint pen and a napkin off the airliner and I sketched out a little drawing of extending the runway and putting a pad there for three hangars and stuff like that. And I’d convinced myself that Tonopah was the right place for this project.”



Peck says the site offered a host of advantages, including being remote to help conceal the squadron from prying eyes, but still in close proximity to Nellis, home of what was then the Air Force Fighter Weapons School, which is now known simply as the Weapons School. This basing decision was a direct product of the discussions that led to the unit’s creation, which revolved around the desire for a more established capability to both evaluate the capabilities of the Russian aircraft and give American fighter pilots regular opportunities to square off against them in dissimilar air combat training.
Before the establishment of the 4477th at Tonopah, the Foreign Technology Division (FTD) of Air Force Systems Command had been primarily responsible for the MiGs. This organization performed FME on flyable and non-flyable foreign aircraft at Area 51 in cooperation with intelligence agencies such as the Defense Intelligence Agency (DIA).
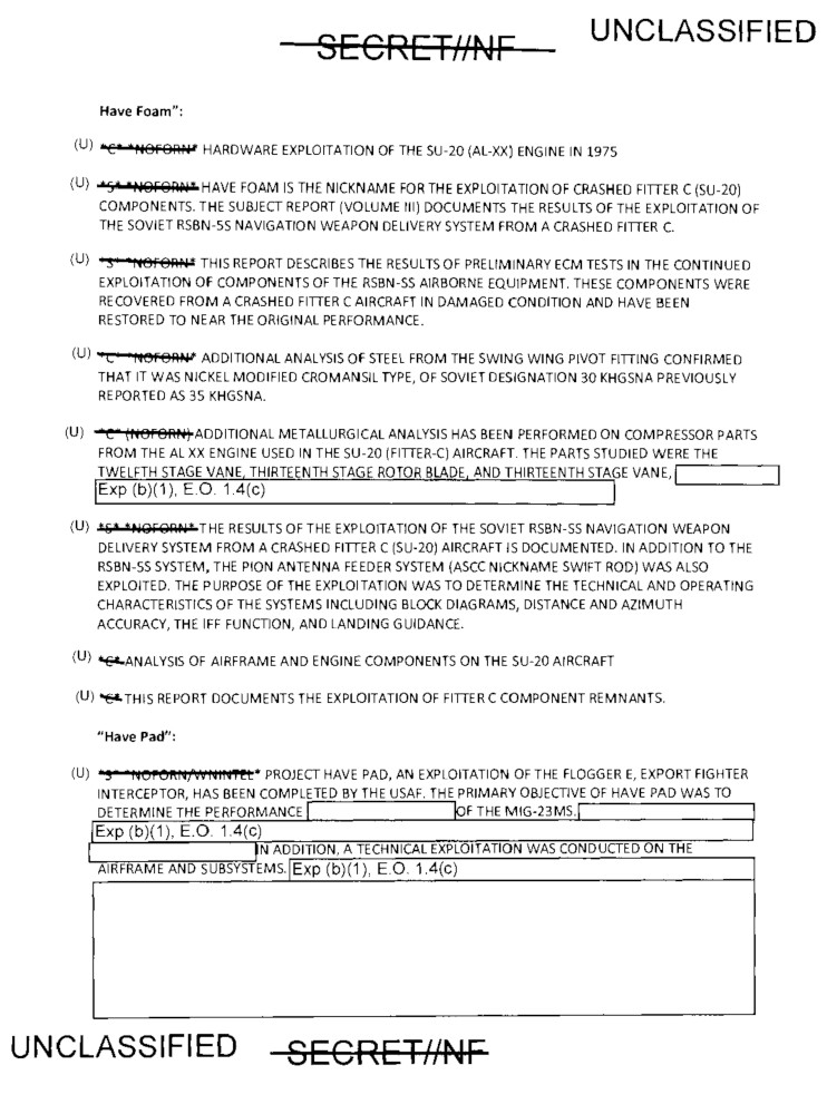
A separate document the Air Force had previously declassified and posted online shows that this work included projects such as Have Foam and Have Pad, which involved the examination of the characteristics of the a crashed Sukhoi Su-20 Fitter and an airworthy MiG-23, respectively. This process included gathering intelligence about the performance of both aircraft and their various systems, as well as collecting information about the Soviet Union’s general industrial capabilities through metallurgical analysis of selected parts.

At the same time, as reports of mediocre performance on the part of U.S. Air Force and Navy fighter pilots against North Vietnamese MiGs began to flow in, flight operations out of Groom Lake eventually expanded to include limited aggressor training for U.S. Air Force and Navy fighter pilots, but as part of specific test programs. Have Drill, which pitted American aviators against an ex-Syrian Air Force MiG-17 captured in Israel, and Have Doughnut, involving a former Iraqi Air Force MiG-21 that the Israelis had acquired from a defecting pilot, are among the best-known examples.
“I was in General [Hoyt S.] Vandenberg’s office [at the Pentagon] one day trying to get him to sign one of these test plans and he says ‘You know, I hate this,'” Peck recounts in the new documentary. “You guys have to go through the pain of writing a test plan. We oughtta just be training with these airplanes.”

Thus the 4477th was born. The secret program’s name, Constant Peg, came from the combination of Vandenberg’s own callsign and the first name of Peck’s wife, Peggy. The Air Force also continued to exploit foreign aircraft and components at Area 51, eventually creating the 6513th Test Squadron, the Red Hats, to continue that work. The service also eventually assigned the cover designations F-110, F-113, and F-114, to the MiG-21s, MiG-23s, and MiG-17s, respectively, to avoid having to refer to them directly as foreign types.
As already noted, the aircraft that the FTD had acquired for its purposes had come from various sources and were not all in flyable condition when the new squadron received them. So, it was often up to the 4477th’s maintainers to figure out the foreign designs after they arrived at Tonopah and get them ready to go.

“We had pieces. You know, we had airframes and wings and all that stuff, but flyable,” Retired U.S. Air Force Master Sergeant Don Lyon, Assistant Chief of Maintenace for the 4477th between 1977 and 1981, says in his own interview in the film. “It wasn’t that difficult to figure it out. I mean, it was a lot of reverse engineering, you know, but airplanes pretty much an airplane.”
Whether this is true or just Lyon being modest, it was still an impressive feat for the Air Force ground crews to essentially rebuild airplanes they may not have ever seen before in person. It also doesn’t speak to the varied state of planes, and plane parts, that came to the unit. Not everything was as pristine as a MiG that had touched down at an Israeli air base.
“They took airplanes that had been pulled out of swamps and deserts and God knows where they got ’em,” Peck says. “We didn’t even pre-flight ’em, we had that much trust in our maintenance team and they didn’t let us down.”

During its official time in existence, the 4477th flew over 15,000 sorties and trained nearly 6,000 American pilots on how to fight actual Soviet MiGs. Those individuals then took their experience back to organizations such as the Air Force Fighter Weapon School and the Navy Fighter Weapon School, better known as TOPGUN, to further share that knowledge throughout their respective services.
It’s hard to overstate the importance for pilots to be able to see how their aircraft perform against actual planes that a potential opponent might be flying. It also gives them a chance to overcome or at least reduce the chance of experiencing anxiety or “buck-fever” when seeing a foreign type for the first time in actual combat.

“You only had to watch the eyes of a fighter pilot joining up on you. He’s coming up in his airplane and the closer he gets, pretty soon you can see his helmet and you can see his head,” Peck explains in the film. “And pretty soon you can see his face and you can see his eyeballs peering at you over his oxygen mask, you know, and they’re getting bigger and bigger and bigger as he’s getting in closer and closer. He’s never seen a Russian airplane in flight for real! What an experience that is.”
Though the 4477th is no more, the Air Force continues to conduct these types of FME and dissimilar air combat training activities using actual foreign airframes to this day. The squadron reportedly remained in existence at least two years after officially standing down and the Air Force only formally declassified its existence at all in 2006.

After a number of subsequent name and organizational changes, which you can read about more here, the latest incarnations of both the Red Eagles and Red Hats are both now understood to be under the control of the Air Force Test Center’s (ATFC) Detachment 3. This unit also has a close relationship to Nellis’ 53rd Test and Evaluation Group, Detachment 3, which has a public mission to conduct FME testing.
In 2017, photographers David Atkinson and Alan Chadwick caught a glimpse of the Red Eagles and Red Hats continued work when he took a series of photos of a F-16D Viper, almost certainly based at Area 51, with an infrared search and track pod flying through Rainbow Canyon, also known “Star Wars Canyon” or the “Jedi Transition,” in Eastern California. The two pilots on board were clearly wearing Red Eagle and Red Hat patches on their flight suits.

Maybe in another 30 years, we’ll be able to learn more about what these units are doing now.
Contact the author: jtrevithickpr@gmail.com