Just yesterday, the U.S. Army confirmed that it had entered into a curious cooperative deal with former Blink 182 frontman Tom DeLonge‘s To The Stars Academy of Arts & Science, more commonly known as TTSA, to investigate certain “novel materials.” The War Zone has now obtained a minimally redacted copy of the agreement that clearly says that the Army wants to attempt to verify TTSA’s claims about reported metamaterials and associated “technology innovations.” If they actually check out, the service thinks they could be immensely valuable to the U.S. military as a whole.
TTSA first announced the Cooperative Research and Development Agreement (CRADA) on Oct. 17, 2019. The Army’s Ground Vehicle System Center (GVSC), part of the service’s Combat Capabilities Development Command (CCDC), which now sits under the recently established Futures Command, confirmed that the existence of the agreement and offered some additional details to The War Zone later that day. You can read our extensive initial report on the CRADA, which will not involve any payment to TTSA, here.
On Oct. 18, 2019, the GVSC released a copy of the 26-page formal CRADA document, titled “Novel & Emerging Technology Exploitation (NETE),” to us with some minor redactions to remove the contact phone numbers of the parties involved.
We now know that GVSC signed the CRADA with TTSA on Oct. 10, 2019. Jeffery Langhout, the center’s director, and Kari DeLonge, Tom DeLonge’s sister who has held the title of Chief Content Officer for TTSA, physically signed the document.
Bean Soave and Dr. Joseph Cannon, both members of GVSC’s Ground Vehicle Survivability and Protection (GVSP) program, are listed as the “principal investigators” on the Army’s side. TTSA’s principal investigator for this CRADA is Luis Elizondo, the organization’s Director of Global Security & Special Programs. Elizondo has claimed in the past to have been in charge of the Advanced Aerospace Threat Identification Program (AATIP) program, which had the ostensible mission of exploring various UAP sightings and was situated for a period under the Office of the Secretary of Defense. More recent reports had called into question his precise relationship with that program.


TTSA has also claimed to be in possession of a number of mysterious metamaterials, which The War Zone covered in detail in our initial reporting on this CRADA. By basic definition, metamaterials are engineered composites that have electrical properties not present in any naturally occurring form of the material, which results in unique attributes, including certain impacts on the transmission of electromagnetic waves.
The bulk of the CRADA document is legalese covering the various roles and responsibilities of the Army and TTSA under the agreement. Section II, however, which is six pages in total, covers the exact scope of work under the deal. You can read this entire section below:






A lot of this is still very much about legal responsibilities. However, there are a number of extremely important statements in this section, as well.
“To the Stars Academy of Arts and Science is a company with materiel and technology innovations that offer capability advancements for Army ground vehicles,” this section of the CRADA says right up front. “These technology innovations have been acquired, designed, and produced by the Collaborator [TTSA], leveraging advancements in metamaterials and quantum physics to push performance gains.”
This is immediately notable because it is not qualified in any way. The Army here is presenting as a simple statement that TTSA has “materiel and technology innovations,” not that they might have them.
In July 2019, TTSA issued a press release stating that it had acquired a number of metamaterial samples. A subsequent TTSA filing with the U.S. Securities and Exchange Commission described them as follows:
(i) One 1.75” x 1.25” x 0.25” piece of micron-layered Bismuth/Magnesium-Zinc metal; (ii) six pieces of Bismuth/Magnesium-Zinc metal; (iii) one piece of Aluminum that TTSA physicist Hal Puthoff already in his possession that is currently on loan from Seller; and (iv) one round black and silver metal flake that physicist Puthoff already has in his possession currently on loan from Seller (collectively, the “Metal Pieces”).
The late Art Bell, long-time host of the paranormal radio program Coast to Coast AM, had originally acquired these from a purported anonymous source. Bell had said the individual claimed that their grandfather had been in an unspecified branch of the U.S. military and that items were related to the Roswell UFO crash conspiracy theory.

The objects had eventually come to Tom DeLonge, who then sold them to TTSA, by way of Linda Moulton Howe, an investigative journalist who is also a prominent member of the UFO community. Howe gave an in-depth presentation, a video of which is available below, on these specific objects in 2004 at the X-Conference, a gathering devoted to fringe topics, such as UFOs.
She claimed that these metal samples displayed antigravitational or levitational properties when exposed to certain frequencies of electromagnetic radiation. Howe also discusses how she presented the materials to a number of labs and corporations, including the Army’s Redstone Arsenal, and they could not reproduce them or identify their origins.
Tom DeLonge made similar claims about the materials in an interview with Joe Rogan in 2018. Harold “Hal” Puthoff, Ph.D, who is TTSA’s Vice President Science & Technology, has also made similar allusions in the past.
In TTSA’s July 2019 press release, TTSA’s Chief Operating Officer Steve Justice and head of its nascent Aerospace Division, who had previously been a senior member of Lockheed Martin’s Skunk Works advanced design division, said the following regarding the Art Bell samples:
“The structure and composition of these materials are not from any known existing military or commercial application. They’ve been collected from sources with varying levels of chain-of-custody documentation, so we are focusing on verifiable facts and working to develop independent scientific proof of the materials’ properties and attributes. In some cases, the manufacturing technology required to fabricate the material is only now becoming available, but the material has been in documented possession since the mid-1990’s. We currently have multiple material samples being analyzed by contracted laboratories and have plans to extend the scope of this study.
If the claims associated with these assets can be validated and substantiated, then we can initiate work to transition them from being a technology to commercial and military capabilities. As noted in our October 2017 TTSA kickoff webcast, technologies that would allow us to engineer the spacetime metric would bring capabilities that would fundamentally alter civilization, with revolutionary changes to transportation, communication, and computation.”
Now, it seems as if these infamous objects, and perhaps others, and the claims surrounding them, have caught the attention of the U.S. Army.
“The Collaborator has access to advanced materiel solutions,” the agreement continues, again underscoring the Army’s opinion that TTSA has something tangible to offer. “The Government would like to assess, test, and characterize the products from the Collaborator at Government facilities to compare the capabilities of these advancements to known commodities, understand what facilities would be required to reproduce the advancements, and determine their applications for ground vehicle platforms.”
“If the Government can verify materiel solutions claims by the Collaborator, then significant advancements can be made in the capabilities of Army ground vehicle platforms in terms of security, force protection and weight reduction,” it adds. This aligns well with the work of the Ground Vehicle Survivability and Protection (GVSP) directorate. For instance, there is specific mention in the CRADA of the potential applications for the metamaterials with regards to “Active Camouflage and Directed Photon Projection,” which have the theoretical potential to lead to cloaking devices that could help conceal vehicles, as well as other military systems.
However, the CRADA also says that “the Government is interested in a variety of the Collaborator’s technologies, such as, but not limited to inertial mass reduction, mechanical/structural metamaterials, electromagnetic metamaterial wave guides, quantum physics, quantum communications, and beamed energy propulsion.” There are topics that border on science fiction. Many researchers have questioned whether existing experiments in these fields are at all practical outside of a laboratory setting.
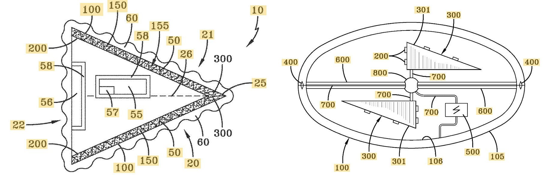
At the same time, this comes as the U.S. Navy has been sponsoring patents on inventions in related fields, including a “Craft Using An Inertial Mass Reduction Device” and a “High Frequency Gravitational Wave Generator.” The War Zone has previously reported on these and other related Navy patents in detail.

Not only that, but the CRADA specifically calls on TTSA to turn over research on quantum communication, directed photon projection system prototypes, as well as beamed energy propulsion “launch vehicles, vehicle prototypes, and systems obtained or possessed.” TTSA has released concept art in the past of a revolutionary flying vehicle, but there has been no indication that there are any actual prototypes or other related hardware of any kind.
“The total value of the Collaborator’s participation (personnel, services, Intellectual Property, facilities, equipment, or other resources) is estimated at $1M, but will be determined by business needs and funding availability,” according to the CRADA.

On top of all of this, there is a small and immensely interesting “Other Participants” subsection. “The Office of the Secretary of Defense (OSD) can share historical reports of findings and origin of materiel solutions in the possession of the Collaborator.”
This is another unqualified statement that says, without caveat, that the Office of the Secretary of Defense is in possession of reports regarding not only scientific or other findings regarding the materials themselves, but also their origins. There is no other information provided in the CRADA about exactly what information is in these OSD documents, or where they came from, but it sounds very similar to existing reports about the work that AATIP did while under OSD.
In 2017, The New York Times reported that Elizondo and other individuals from AATIP had examined “metal alloys and other materials” at a facility that Robert Bigelow‘s company Bigelow Aerospace operated in Las Vegas, Nevada. Bigelow, a millionaire real estate development and owner of the Budget Suites of America hotel chain, has also been a prominent figure in UFO and paranormal circles for decades.
Bigelow Aerospace had initially won a contract to support the Defense Intelligence Agency’s Advanced Aerospace Weapon System Applications Program (AAWSAP), which eventually evolved into AATIP. Under Bigelow’s direction, AAWSAP produced a number of study reports on topics, some of which bordered on science fiction.
Elizondo, Puthoff, and other members of TTSA have made additional claims in recent years to be continuing to test various purported metamaterials in the organization’s possession, in addition to the Art Bell samples. The organization has been acquiring these objects as part of its internal Acquisition and Data Analysis of Materials program, or ADAM.
So, could these supposedly advanced materials be the key to the technologies TTSA plans to develop in cooperation with the Army? While these exact samples of metallic materials TTSA claims to possess have been discussed in UFO circles for years, the recent partnership with the Army and the credentials of the TTSA members discussing them may suggest that there may be more to these samples than unproven claims of crashed alien spacecraft. If nothing else, it abundantly clear that the Army wants to find out definitely if this is indeed the case.
The CRADA says that the agreement will run Sept. 30, 2023, but that milestone and intelligence property reviews at the end of every fiscal year between now and then. The first of those reports are due by the end of September 2020.
As the partnership gets underway, we may begin to learn more about what is or isn’t behind TTSA’s claims of fantastic and potential other-worldly materials.
Author’s Note: Thanks to Kent Bye, host of the Voices of VR Podcast, who pointed us in the direction of the Linda Moulton Howe video and other available information about the Art Bell samples.
Contact the author: joe@thedrive.com