The United States had terse and cryptic words for North Korea’s reclusive communist regime after it tested yet another ballistic missile on April 4, 2017. Unnamed White House officials said the “clock has now run out” for authorities in Pyongyang and reiterated a previous threat that “all options are on the table.”
“The United States has spoken enough about North Korea,” Secretary of State Rex Tillerson wrote in an unusual three sentence statement.
The curt remarks were the latest in a string of increasingly tough rhetoric between American and North Korean officials beginning in March 2017, including a Pyongyang spokesman’s threat of “a preemptive nuclear attack” if the United States resorted to unilateral military action. But how might the United States actually respond to these provocations and potential doomsday scenarios? Well, we’ve found some answers inside the U.S. Strategic Command’s (STRATCOM) Operations Plan (OPLAN) 8010. While it doesn’t explicit allow for an American preemptive strike, it is the literal nuclear option.
“With the end of the Cold War the international landscape has changed,” the July 2012 version of the document explains in a section called “framing the problem.” “The global security landscape is marked by protracted conflict, constant change, enormous complexity, and increased uncertainty.”
“While dynamic security concerns in space and cyberspace evolve, traditional threats to national security continue to be presented by sovereign states, both the peer and near-peer and those regional adversary states with emerging WMD [weapons of mass destruction] capabilities,” the authors wrote, adding their own emphasis.

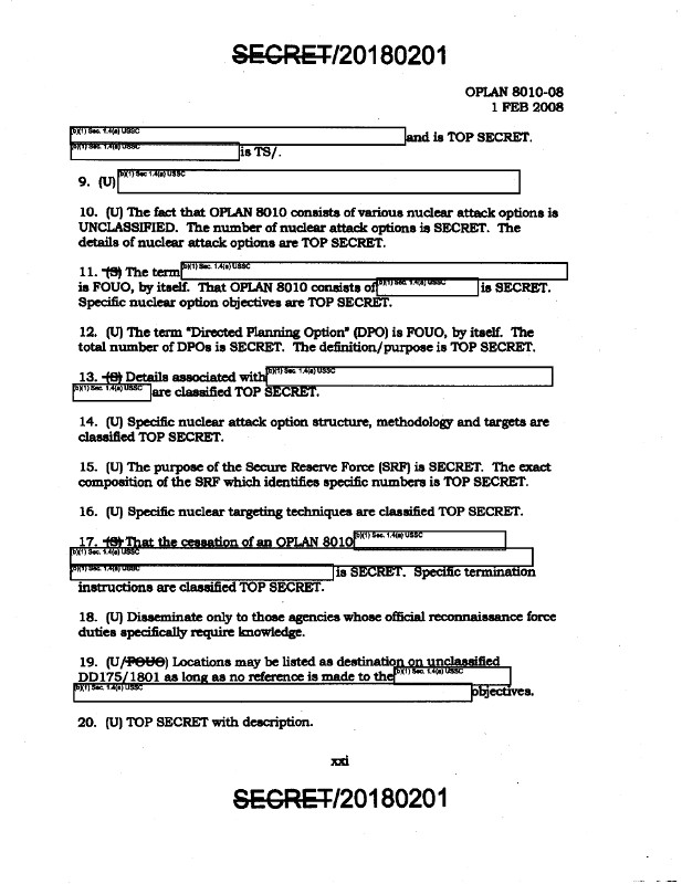
We obtained a heavily redacted portion of this document through the Freedom of Information Act, as well as a similarly censored excerpt from a previous, February 2008 edition. The 2012 version wouldn’t otherwise have been up for its first declassification review until 2022.
There is a section that details “countries that present global threats,” but the un-redacted portions of the document do not describe North Korea by name. Unclassified text specifically mentions Russia and China, but to does not suggest either one is an imminent danger to Americans.
“The term ‘enemy’ is used in the singular form throughout this document for simplicity,” the OPLAN says. “However, because of the global view of this plan and the varied nature of the adversary set, multiple enemies are addressed.”

Though not necessarily surprising, “normally they don’t like to list any names,” Hans Kristensen, head of the Federation of American Scientists’ Nuclear Information Project, told The War Zone in an Email. “It looks like there are now (2012) five adversaries in the plan: Russia, China, North Korea, Iran, and Syria,” he posited, based on the number of redacted paragraphs.
This would make sense, given that officials in Washington see all of these as potential adversaries who either have nuclear arsenals or are seeking to obtain them. Russia and China both maintain stockpiles with hundreds of warheads, as well as intercontinental ballistic missiles that can reach the United States. The U.S. government believes Iran’s nuclear program is focused on weapons development, despite repeated denials from their counterparts in Tehran. And in 2007, Israeli warplanes bombed an apparent covert nuclear reactor in Syria’s Deir ez-Zor governorate.

Of course, it’s possible that instead of Syria and Iran, the paragraphs could have mentioned nuclear-armed India and Pakistan, who continue to experience significant tensions, linked in no small part to the continuing disagreement over the final status of the Kashmir region. The publicly released portions only refer to actors seeking WMD, too, which could encompass countries or non-state groups seeking to build up large stockpiles of chemical, biological, or radiological weaponry.
“Rapid technological evolution and the wide civil availability of formerly advanced military capabilities have reduced ‘entry costs,’ making available completely new weapons and enabling actors to access capabilities that would not have been available to them in the past without significant investment,” STRATCOM’s plan says. “Blurred boundaries and overlapping claims to sovereignty in global domains will continue to present national security challenges.”
But it seems unlikely North Korea hasn’t made the list. Under the helm of its young leader Kim Jong-Un, the country routinely declares its intention to build nuclear weapons—ostensibly as a deterrent to the U.S. military and its allies in South Korea and Japan—describes itself as a nuclear state equal to America, and repeatedly threatens to use these arms in a confrontation with its sworn enemies. Since 2006, it has detonated at least five suspected nuclear devices of varying strengths. The fifth test in September 2016 involved a nuclear warhead small enough to fit on a missile, according to North Korean state-run media.
“We don’t really know how big North Korea’s nuclear arsenal is, or will be once the ‘standardized’ warheads are deployed to the missile forces,” Jeffery Lewis, who runs the East Asia Nonproliferation Program at the James Martin Center for Nonproliferation Studies at the Middlebury Institute of International Studies at Monterey, wrote at the time for Foreign Policy. “But its not a small number, and certainly not just a handful. And it’s likely to keep growing.”
On top of its nuclear warheads, North Korea has been steadily improving and expanding its ballistic missiles with an eye toward being able to threaten the United States, or its territories in the Pacific Ocean such as Guam and Hawaii. In the April 2017 instance, U.S. Pacific Command initially said it believed the country had launched an intermediate range ballistic missile (IRBM) called the KN-15. Two months earlier, Pyongyang’s forces had debuted this weapon, known inside the country as Pukkuksong-2, which appeared to be an advanced version of an earlier missile intended for the North Korean navy’s submarines.
Later, other reports suggested the weapon fired just days ago might actually have been a medium range ballistic missile (MRBM) known as the Hwasong-7, also called the Scud-Extended Range or Scud-D. In March 2017, North Korea fired four of those weapons toward Japan.

MRBMs generally feature ranges between 1,000 and 3,000 kilometers. IRBM class weapons have ranges between 3,000 to 5,500 kilometers, according to the Pentagon. A missile in this second, longer range category would be able to hit American military facilities in Guam from anywhere in North Korea.
If officials in Pyongyang resort to WMD attacks for any reason, OPLAN 8010 swings from “deter” to “defeat,” stressing in its text the need for American political will to employ “strategic forces if deterrence fails.” As part of a standing mission dubbed Operation Global Citadel, the Pentagon maintains a so-called “Nuclear Triad” of nuclear-armed heavy bombers, land- and sea-based ballistic missiles. Smaller fighter jets can carry the B61 thermonuclear gravity bomb, if necessary.
The United States is deeply invested in a multi-year effort to both upgrade its nuclear weapons and delivery platforms. At separate events in 2016, the Air Force announced it would call its future stealth bomber the B-21 Raider. Northrop Grumman is planning to build dozens of the flying-wing style stealth aircraft, hopefully delivering the first examples sometime in the mid-2020s. The Air Force is also exploring plans to replace its Minuteman III ballistic missiles, amid reports of delays over costs. The U.S. Navy is working toward beginning construction of its new Columbia-class ballistic missile submarines. The service expects to buy the first boat, the first-in-class USS Columbia, in 2021. A new nuclear bomb and cruise missile are also in the works.
Whatever weapons STRATCOM employs, the goal is clear: “attack the appropriate enemy ‘system’ to eliminate the enemy’s capability to fight and influence key decision makes to cease hostilities.”

Unsurprisingly, specific details about the actual missions for any of these weapons, current or planned, are still classified. Reliable deterrence is a balancing act between giving potential opponents just enough information to be scared, but not enough to develop safeguards that would make the strikes ineffective.
That means there are still important elements that are free to share. The most important is that the United States does not have a policy of “no first use” when it comes to thermonuclear war. Most of the specific thresholds are redacted, but the OPLAN specifically says the president can order STRATCOM to respond “in the event of a hostile act or intent.”

“There is nothing in this [OPLAN] that indicates a constraint on potential nuclear use, except that strikes have to comply with the Law of Armed Conflict, etc,” Kristensen explained. “That is in and of itself important, not least because the 2013 Nuclear Employment Strategy explicitly states that the United States does not target civilians.”
But that leaves open a lot of room for interpretation. While the United States does not deliberately target civilians, it still kills them accidentally in conventional strikes, as have been reported in Iraq, Syria, and Yemen. The presence of innocent bystanders is not necessarily enough to abort a strike.
“The implication is nuclear use only in extreme conditions,” Dr. William Burr, who runs the nuclear history documentation project at the National Security Archive at The George Washington University, told The War Zone in an email. “I would say that in such a circumstance, the decision would be left to the president and his advisers. One size would not fit all so to speak.”
Given the immense power of America’s nuclear weapons, one might hope that the danger of causing massive collateral damage would be major factor, but it’s not a given. That’s where the OPLAN’s specific mention of “proportionality” comes into play.
“The use of any weapon, kinetic or non-kinetic, must comply with the key principles of [the Law of Armed Conflict]: military necessity, avoidance of unnecessary suffering, proportionality, and discrimination or distinction,” the document explains. “All of these principles will be taken into account when developing and executing courses of action.”

Taken together, these factors “all mean—to the extent they are followed and not watered down by operational considerations—that there is at least an intent to try to limit collateral damage and civilian suffering that presumably is reflected in the strike plans,” Kristensen says. “The requirement in OPLAN 8010-12 for “proportionality” raises the issue of how a nuclear response to a conventional attack could ever be proportional?
However, in 2010 and again in 2013, U.S. government reviews on how and when to employ nuclear weapons concluded that they were not “sole-purpose,” meaning the President should only be able to authorize their use during an all-out nuclear conflict. From the parts of OPLAN 8010 that are available to us, the United States has and continues to leave open the possibility of using these weapons in response to a conventional or non-nuclear WMD attack on Americans or allies covered by mutual defense treaties, such as South Korea and Japan. If North Korea were to launch a nuclear-tipped barrage of missiles, a U.S. military strike in kind would hardly be disproportionate.
“The use of WMD by any state has impacts to international security,” a declassified portion notes. “Strategies for one adversary will not necessarily be appropriate for another adversary.”
In addition, it is possible that STRATCOM’s “proportional” strikes could involve conventional rather than nuclear weapons. Though the headquarters has operational control over America’s nuclear arsenal, its aircraft in particular could carry conventional payloads. Since 2014, first B-1 and then B-52 strategic bombers demonstrated this dual ability as they pounded Islamic State terrorists in Iraq and Syria. In January 2017, B-2 stealth bombers flew all the way from the United States to drop smart bombs with high-explosive warheads on one of the group’s camps in Libya.

In this vein, it’s important to note that the official title of the 2008 edition of the OPLAN was “Global Deterrence and Strike.” STRATCOM changed this to “Strategic Deterrence and Force Employment” four years later. This change in phrasing could have something to do with plans for the employment of conventionally-armed bombs and missiles, or not.
The handy “classification guide” – a comprehensive table of what is and isn’t secret – from the 2008 version says “that OPLAN 8010 consists of various attack options” can be unclassified, secret, or top secret depending on the details. “The fact that OPLAN 8010 consists of various nuclear attack options is unclassified. The number of nuclear attack options is secret. The details of nuclear attack options are top secret,” an additional note explains. This would seem to imply the plan covers nuclear options only.
During the administration of President George W. Bush, there was another plan that appeared to cover global, strategic conventional strikes, including pre-emptive operations, called OPLAN 8022. A separate nuclear plan, OPLAN 8044, also existed. Pentagon efforts to create a capability called “Prompt Global Strike” created confusion about whether this involved nuclear or conventional arms, or both, and whether it would be dangerously difficult to tell the two apart. A ballistic missile carrying a high-explosive payload wouldn’t necessarily look different from one with a thermonuclear warhead at the tip.
“Eventually, the two missions merged to some extent into OPLAN 8010,” Kristensen noted. “It is a fuller strategic plan that attempts to incorporate more elements of national power to apply pressure and achieve strategic effects on specific adversaries.”

Unfortunately, there’s no guarantee North Korea will get the desired message. The pariah state has long defined itself by its opposition to intimidation and pressure and as we at The War Zone have already reported, the stern American rhetoric may only validate their opinions and propaganda, pushing them further toward a rash decision.
OPLAN 8010 specifically mentions this and six other risks. Four of the others are almost completely censored. And what do you do when “adversaries misperceive messages?” The plan recommends nuclear commanders “constantly assess culturally appropriate strategic communication strategy, tightly integrated through the interagency process.”
Regardless, “we’ve always had all options on the table,” former Secretary of Defense Ashton Carter said on CBS’ “This Week” earlier in April 2017. “I wouldn’t take any off.”
One of those options available to Trump and his administration is definitely the strike plans inside OPLAN 8010.
Contact the author: joe@thedrive.com