The United States Air Force operates two variants of the Boeing 747, a pair of VC-25A “Air Force One” aircraft used for presidential airlift missions and four E-4B “Nightwatch” airborne command posts. Both are based on the increasingly vintage 747-200 platform and both are capable of aerial refueling. The somewhat iconic hump on their noses is where the refueling receptacle and slipway are located. The only other 747s in the world that have this feature are the KC-747s, originally referred to as KC-33s, operated by the Iranian Air Force. You can read all about those aircraft in this past article of mine. All these aircraft also share what has been something of a mysterious panel between the cockpit windscreen and the refueling receptacle. I set out to answer what this odd feature does and I ended up with a most interesting answer.
When it comes to aircraft like the VC-25A or E-4B that are covered in specialized aerials and missions system, decoding what all those humps, lumps, blisters, and apertures do is a fond pastime of the most ardent aerospace aficionados. At least for me, the panel above the refueling receptacle was pretty much the last piece of the puzzle, so I began researching it and came up with very little.

That is until I noticed a particularly clear and unobstructed photo of an E-4B refueling. When I looked closely the panel in question was clearly deployed in an upright position. In addition, it not only existed on these USAF 747s, but it was also present on Iran’s 747 tankers. So clearly, its utility rooted in the aerial refueling process. But for what? I had never seen this before on other receiver aircraft.

Maybe it was meant to keep spray off the windscreen? That seemed most plausible, but I found the cockpit videos below showing E-4Bs tanking with the panel extended and a bad seal between the boom and the receptacle resulting in constant spray directly on the windscreen. So that wasn’t it.
Then I thought maybe it exists to protect the windscreen from the boom accidentally impacting it. But upon further contemplation, that seemed like an odd requirement as other aircraft have their receptacles in somewhat sensitive places and they don’t have similar deflection systems.
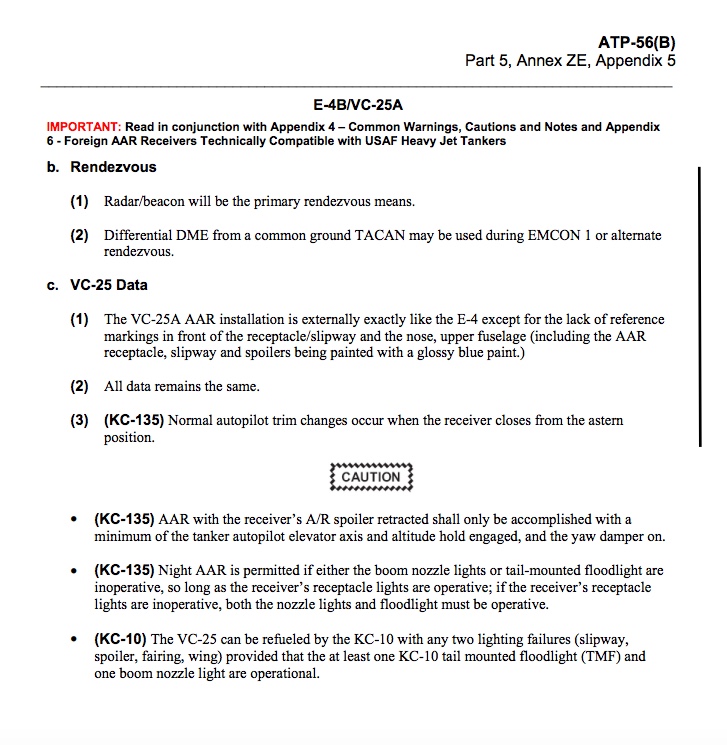
Frustrated, I reached out to a veteran boom operator contact of mine for answers and answers I received! It turns out that the system in question exists for aerodynamic and flight control purposes—it was a spoiler. Knowing that, I was able to find the NATO air-to-air refueling manual online, which discusses each aircraft’s unique issues when it comes to tanking.

The section for the E-4B clearly states:
The aircraft is provided with a receptacle “spoiler”, 1 foot high and 2 feet across, located just aft of the AAR receptacle. It is designed to reduce/normalize receiver pilot pitch control problems.
With the spoiler retracted, receiver pilot workload is greatly increased to control E-4 pitch oscillations encountered when closing from 10 to 2 feet and when contact is made.
…
AAR with the receiver’s A/R spoiler retracted shall only be accomplished with a minimum of the tanker autopilot elevator axis and altitude hold engaged, and the yaw damper on.
You can see the pages in question for yourself here:


So there you have it. This unique pop-up spoiler significantly helps E-4B and VC-25A pilots better control the pitch of the aircraft during delicate aerial refueling operations. In fact, executing a refueling evolution without it operable seems to be quite challenging, at least according to the manual.
The spoiler also has floodlights that help illuminate the slipway and receptacle for the boom operator.

The nose-mounted aerial refueling spoiler, just another unique thing about the world’s most unique Jumbo Jets.
Author’s note: A special thanks to Travis Ham for assisting with this article.
UPDATE: 10:30AM PDT—
An anonymous source alerted us to the patent for this system, which explains its utility in even greater depth. The patent was issued in 1979 and you can find it here. Here is one of the diagrams in it:

Contact the author: Tyler@thedrive.com